• 开平市人民政府门户网站
  •   
    • 搜索
Baidu
map
您当前的位置: 首页 > 开平市卫生健康局 > 重点领域信息公开 > 人事工作
关于2020年下半年开平市医疗卫生事业单位公开招聘职员综合成绩及入围体检名单公布的通知
发布日期:2021-03-25 18:13
来源:本站
打印
【字体:

关于2020年下半年开平市医疗卫生事业单位公开招聘职员综合成绩及入围体检名单公布的通知(3.25)0000.jpg

附件:2020年下半年开平市医疗卫生事业单位公开招聘职员综合成绩及入围体检对象名单(3.25)0000.jpg

附件:2020年下半年开平市医疗卫生事业单位公开招聘职员综合成绩及入围体检对象名单(3.25)0001.jpg

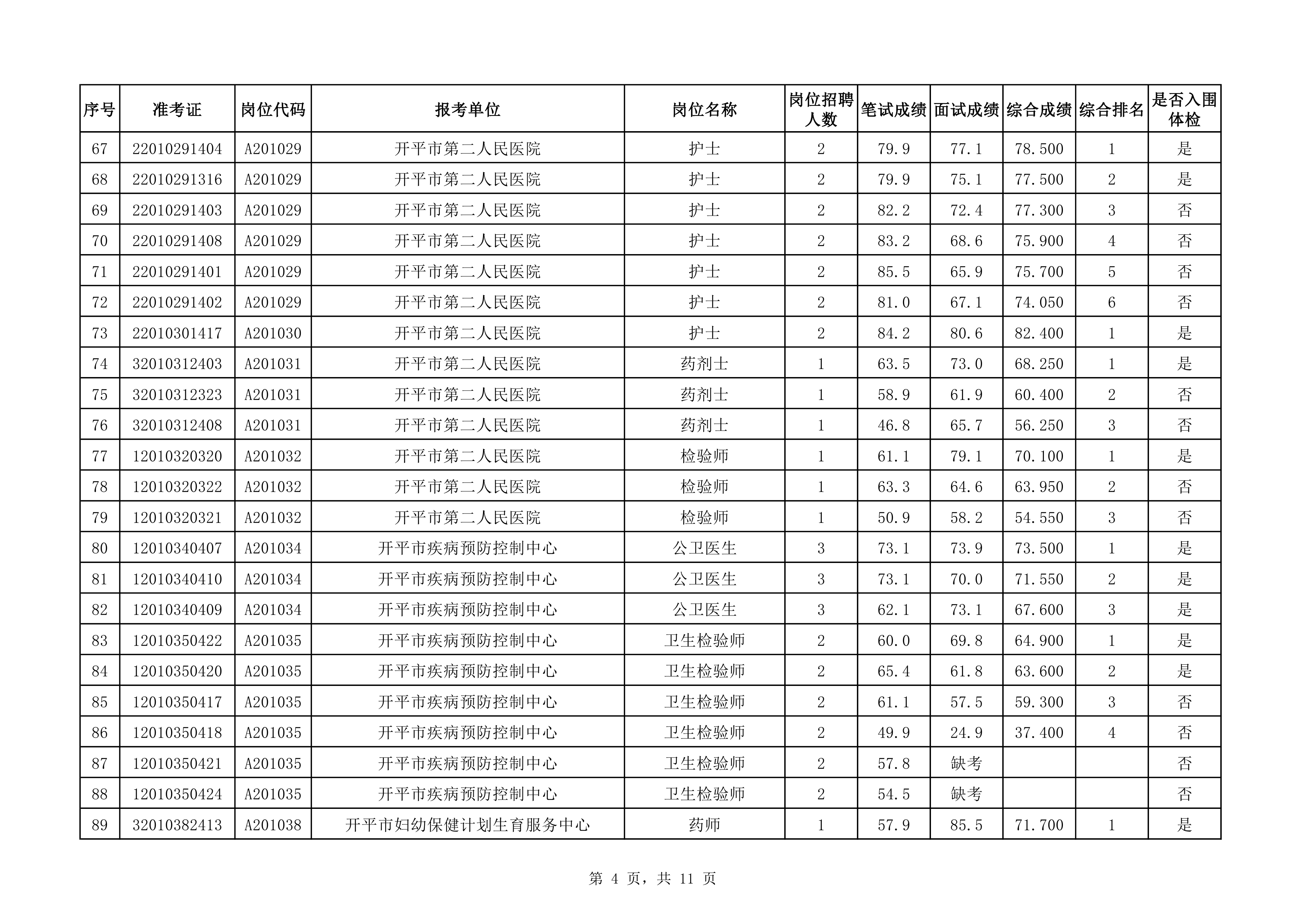
附件:2020年下半年开平市医疗卫生事业单位公开招聘职员综合成绩及入围体检对象名单(3.25)0002.jpg

附件:2020年下半年开平市医疗卫生事业单位公开招聘职员综合成绩及入围体检对象名单(3.25)0003.jpg

附件:2020年下半年开平市医疗卫生事业单位公开招聘职员综合成绩及入围体检对象名单(3.25)0004.jpg

附件:2020年下半年开平市医疗卫生事业单位公开招聘职员综合成绩及入围体检对象名单(3.25)0005.jpg

附件:2020年下半年开平市医疗卫生事业单位公开招聘职员综合成绩及入围体检对象名单(3.25)0006.jpg

附件:2020年下半年开平市医疗卫生事业单位公开招聘职员综合成绩及入围体检对象名单(3.25)0007.jpg

附件:2020年下半年开平市医疗卫生事业单位公开招聘职员综合成绩及入围体检对象名单(3.25)0008.jpg

附件:2020年下半年开平市医疗卫生事业单位公开招聘职员综合成绩及入围体检对象名单(3.25)0009.jpg

附件:2020年下半年开平市医疗卫生事业单位公开招聘职员综合成绩及入围体检对象名单(3.25)0010.jpg


 
联系我们 网站帮助 网站地图 服务申明
 版权所有:开平市人民政府    主办:开平市人民政府办公室 
备案编号: 粤ICP备05079694号  网站标识码:4407830003  粤公网安备; 44078302000116
开平市政府网公众号
开平发布政务微博
Baidu
map
Baidu
map